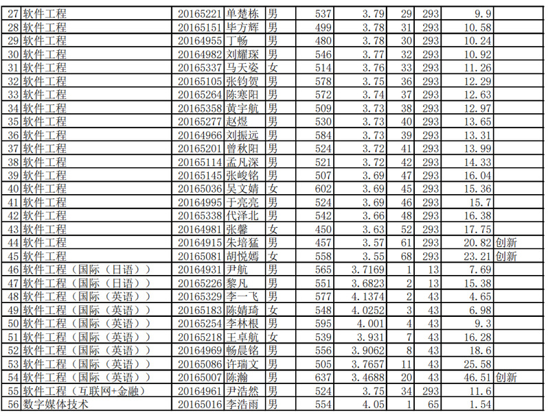
软件学院2020届推免生名单

作者: 时间:2019-09-19 点击数:14992 字号:


  地址:辽宁省沈阳市浑南区创新路195号 电话:(024)83680498  传真:(024)83680522 邮编:110169